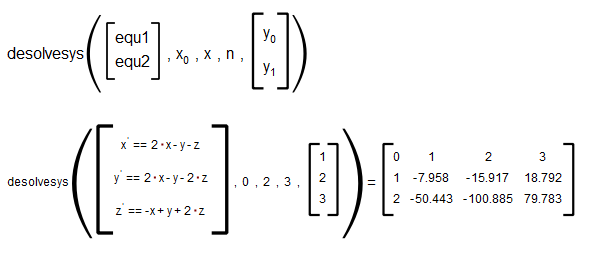
desolvesys

Calculates the solution of an inputted system of differential equations.

Arguments

  1. Vector of equations
  2. Real value x0
  3. Real value x
  4. Integer value n, number of steps
  5. Vector of real values y0, size equal as vector of equations

Output

Matrix of solutions

Examples

desolvesys