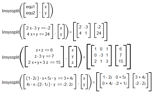
linsyssplit
Separates the inputted system of linear equations and returns the matrix of coefficients and vector of terms.
Arguments
- Equation's vector
- Symbol's vector
Output
Solution's vector
Examples
Separates the inputted system of linear equations and returns the matrix of coefficients and vector of terms.
Solution's vector