poladd
Calculates the sum of inputed polynomials a and b. Depending on input, function can return scalar, vector or matrix
Arguments
- Polynom a
- Polynom b
Output
Resulting polynom
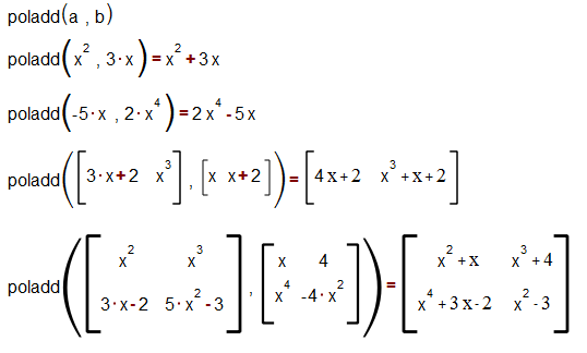
Examples
Calculates the sum of inputed polynomials a and b. Depending on input, function can return scalar, vector or matrix
Resulting polynom