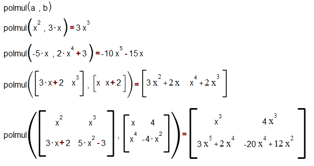
polmul
Calculates the multiplication of inputted polynomials a and b. Depending on input, function can return scalar, vector or matrix
Arguments
- Polynom a
- Polynom b
Output
Resulting polynom
Examples
Calculates the multiplication of inputted polynomials a and b. Depending on input, function can return scalar, vector or matrix
Resulting polynom