polsub
Calculates the substractation of the inputted polynomials a and b. Depending on input, function can return scalar, vector or matrix
Arguments
- Polynom a
- Polynom b
Output
Resulting polynom
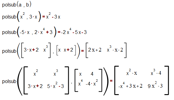
Examples
Calculates the substractation of the inputted polynomials a and b. Depending on input, function can return scalar, vector or matrix
Resulting polynom